Официальное опубликование правовых актов
ОФИЦИАЛЬНОЕ ОПУБЛИКОВАНИЕ
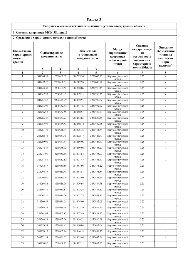
Приказ Комитета Пензенской области по охране памятников истории и культуры от 20.11.2019 № 101-ОД
"О внесении изменения в приказ Комитета Пензенской области по охране памятников истории и культуры от 03.12.2018 № 172-ОД"
Номер опубликования: 5801201911210001
Дата опубликования: 21.11.2019
Страница №3 из 9:
Увеличить