Официальное опубликование правовых актов
ОФИЦИАЛЬНОЕ ОПУБЛИКОВАНИЕ
Приказ Департамента градостроительства и архитектуры Пензенской области от 20.09.2019 № 97/ОД
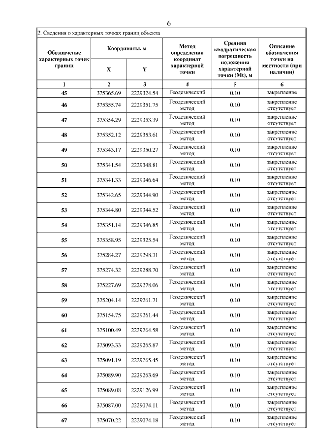
"О признании утратившим силу приказа Управления жилищно-коммунального хозяйства Пензенской области от 26.06.2013 № 1-455 "Об утверждении границ охранных зон существующего газопровода высокого давления, адрес объекта: г. Пенза, от ГРС в районе совхоза "Декоративные культуры" до котельной и наложении ограничений (обременений) на входящие в них земельные участки" и об утверждении границ охранной зоны газопровода высокого давления, расположенного по адресу: г. Пенза, от ГРС в районе совхоза "Декоративные культуры" до котельной, и наложению ограничений (обременений) на входящие в нее земельные участки"
Номер опубликования: 5801201909230006
Дата опубликования: 23.09.2019
Страница №6 из 10:
Увеличить