Приказ Департамента градостроительства и архитектуры Пензенской области от 12.09.2019 № 85/ОД
"О признании утратившим силу приказа Департамента градостроительства и архитектуры Пензенской области от 14.11.2017 № 80/ОД "Об утверждении границ охранных зон существующего подземного газопровода, протяженностью 2087 м, расположенного по адресу: г. Пенза, (кадастровые кварталы 58:29:2009002; 58:29:2009005; 58:29:2009014; 58:29:3010002, площадь охранной зоны 8586 кв. м) и наложению ограничений (обременений) на входящие в них земельные участки" и об утверждении границ охранной зоны существующего газопровода, протяженностью 2087 м., расположенного по адресу: Пензенская область, г. Пенза, ул. Фабричная, Луговая, пр. Дзержинского, Первомайская, Измайлова, Антонова., Лит 1 – от т. 1,2 (врезка в существующий газопровод) до жилых домов по ул. Фабричная; Лит 2 – от т. 1,2,3,4 (врезка в существующий газопровод) до жилых домов по ул. Луговая; 3 пр. Дзержинского, ул. Дзержинского; Лит. 3 – от т. 1 (врезка в существующий газопровод) до т.2 (врезка в существующий газопровод) по ул. Первомайская; Лит. 4 – от т.1 (врезка в существующий газопровод) до ГРП №64, и наложению ограничений (обременений) на входящие в нее земельные участки"
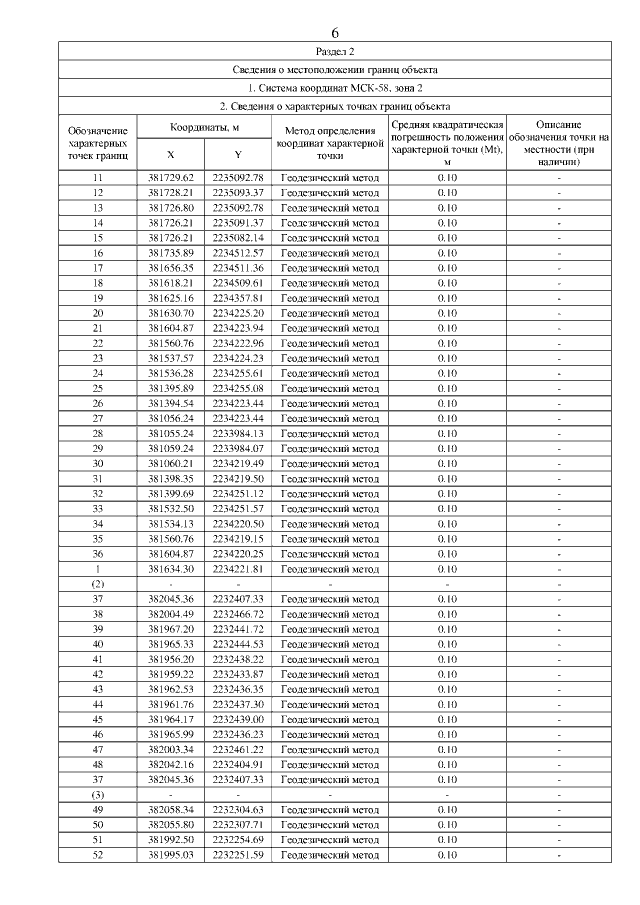
"О признании утратившим силу приказа Департамента градостроительства и архитектуры Пензенской области от 14.11.2017 № 80/ОД "Об утверждении границ охранных зон существующего подземного газопровода, протяженностью 2087 м, расположенного по адресу: г. Пенза, (кадастровые кварталы 58:29:2009002; 58:29:2009005; 58:29:2009014; 58:29:3010002, площадь охранной зоны 8586 кв. м) и наложению ограничений (обременений) на входящие в них земельные участки" и об утверждении границ охранной зоны существующего газопровода, протяженностью 2087 м., расположенного по адресу: Пензенская область, г. Пенза, ул. Фабричная, Луговая, пр. Дзержинского, Первомайская, Измайлова, Антонова., Лит 1 – от т. 1,2 (врезка в существующий газопровод) до жилых домов по ул. Фабричная; Лит 2 – от т. 1,2,3,4 (врезка в существующий газопровод) до жилых домов по ул. Луговая; 3 пр. Дзержинского, ул. Дзержинского; Лит. 3 – от т. 1 (врезка в существующий газопровод) до т.2 (врезка в существующий газопровод) по ул. Первомайская; Лит. 4 – от т.1 (врезка в существующий газопровод) до ГРП №64, и наложению ограничений (обременений) на входящие в нее земельные участки"
Номер опубликования: 5801201909160001
Дата опубликования:
16.09.2019
