Официальное опубликование правовых актов
ОФИЦИАЛЬНОЕ ОПУБЛИКОВАНИЕ
Приказ Департамента градостроительства и архитектуры Пензенской области от 19.07.2019 № 67/ОД
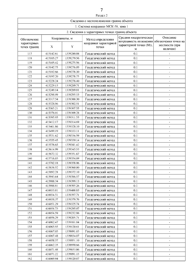
"Об утверждении границ охранной зоны существующего газопровода низкого давления, протяженностью 3570,0 м., расположенного по адресу: Пензенская область, Нижнеломовский район, д.Волженка, ул. Володарского, ул. Буденого, ул. Кирова, и наложению ограничений (обременений) на входящие в нее земельные участки"
Номер опубликования: 5801201907230002
Дата опубликования: 23.07.2019
Страница №7 из 16:
Увеличить