Официальное опубликование правовых актов
ОФИЦИАЛЬНОЕ ОПУБЛИКОВАНИЕ
Приказ Департамента градостроительства и архитектуры Пензенской области от 26.06.2019 № 57/ОД
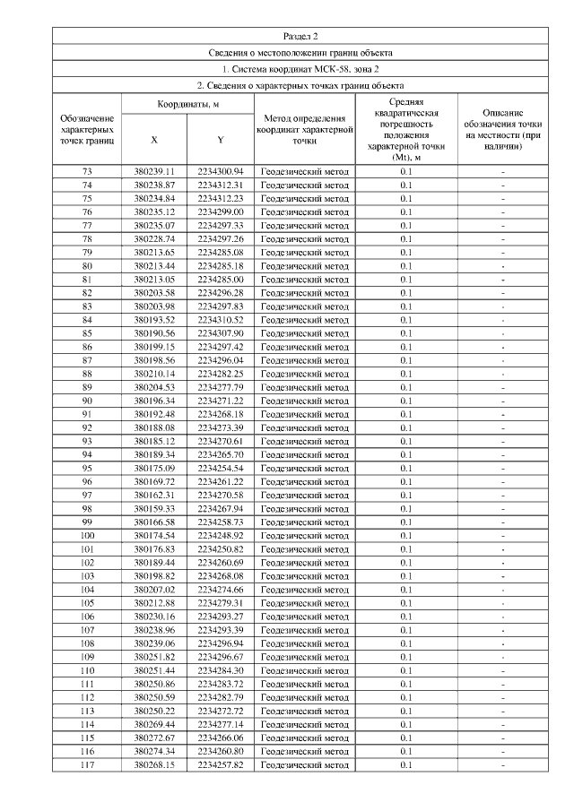
"О признании утратившими силу отдельных приказов Министерства строительства, архитектуры и дорожного хозяйства Пензенской области и об утверждении границ охранной зоны существующего газопровода, протяженностью 1356 м., расположенного по адресу: Пензенская область, г. Пенза, Железнодорожный район, ул. Садовое кольцо, от т.1 (врезка в существующий газопровод D=530) до т.2, т.3, т.4, т.5, т.6, т.7 ( ввода сети в жилые дома по ул. Садовое Кольцо), и наложению ограничений (обременений) на входящие в нее земельные участки"
Номер опубликования: 5801201906270014
Дата опубликования: 27.06.2019
Страница №7 из 13:
Увеличить