Официальное опубликование правовых актов
ОФИЦИАЛЬНОЕ ОПУБЛИКОВАНИЕ
Приказ Министерства здравоохранения Пензенской области от 21.06.2019 № 133
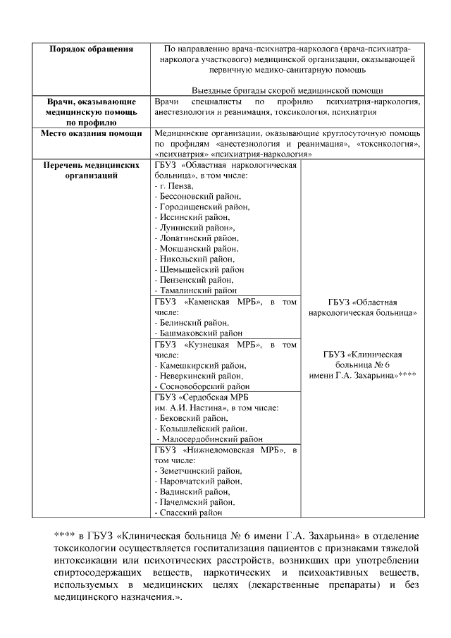
"О внесении изменений в маршрутизацию пациентов при оказании специализированной медицинской помощи в экстренной и неотложной форме по профилю "психиатрия-наркология", утвержденную приказом Министерства здравоохранения Пензенской области от 21.06.2017 № 195"
Номер опубликования: 5801201906270002
Дата опубликования: 27.06.2019
Страница №2 из 3:
Увеличить