Официальное опубликование правовых актов
ОФИЦИАЛЬНОЕ ОПУБЛИКОВАНИЕ
Приказ Департамента градостроительства и архитектуры Пензенской области от 17.06.2019 № 55/ОД
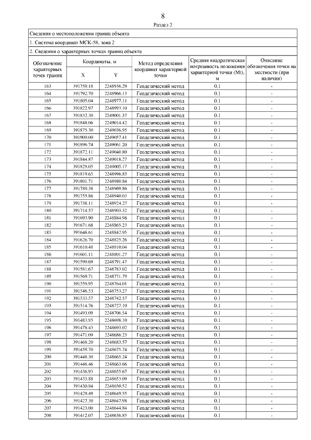
"Об утверждении границ охранной зоны существующего газопровода высокого давления протяженностью 8044 м, расположенного по адресу: Пензенская область, Бессоновский район, с. Чемодановка до с. Сосновка, и наложению ограничений (обременений) на входящие в нее земельные участки"
Номер опубликования: 5801201906190002
Дата опубликования: 19.06.2019
Страница №8 из 24:
Увеличить