Официальное опубликование правовых актов
ОФИЦИАЛЬНОЕ ОПУБЛИКОВАНИЕ
Приказ Департамента градостроительства и архитектуры Пензенской области от 24.05.2019 № 49/ОД
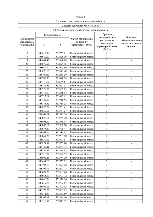
"О признании утратившими силу отдельных приказов Управления жилищно-коммунального хозяйства Пензенской области и об утверждении границ охранной зоны существующего газопровода, протяженностью 494,0 м, расположенного по адресу: Пензенская область, Белинский район, с. Верхние Поляны, от точки врезки примерно в 70 м по направлению на восток от дома №40 ул. Речная до ГРПШ примерно в 18 м по направлению на юг от дома №40 ул. Речная с. Верхние Поляны, и наложению ограничений (обременений) на входящие в нее земельные участки"
Номер опубликования: 5801201905270001
Дата опубликования: 27.05.2019
Страница №6 из 9:
Увеличить