Официальное опубликование правовых актов
ОФИЦИАЛЬНОЕ ОПУБЛИКОВАНИЕ
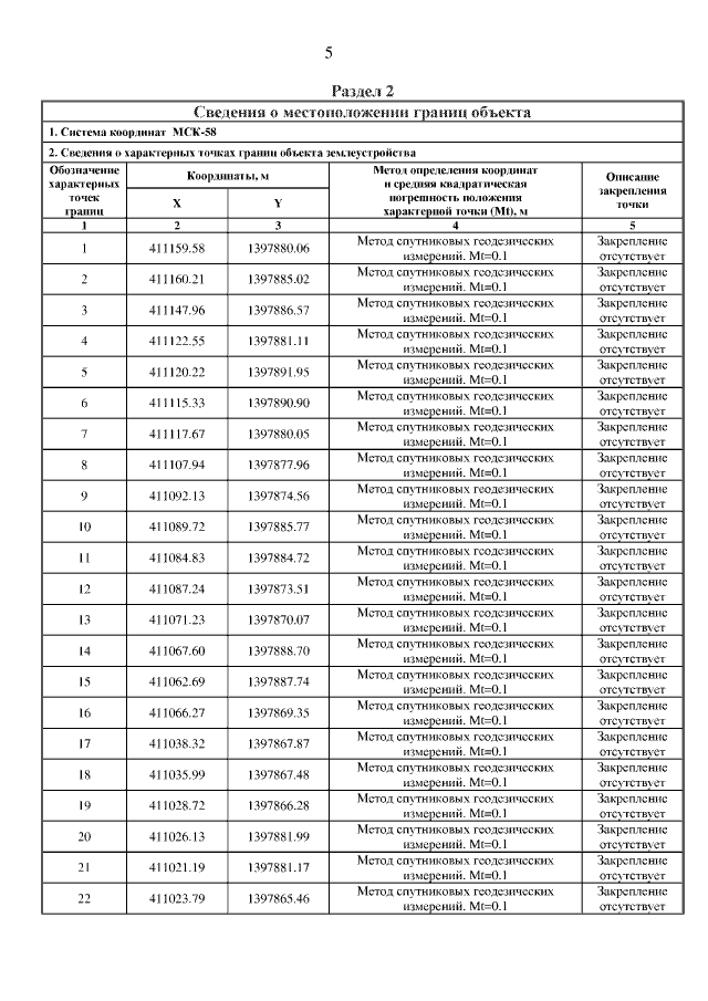
Приказ Департамента градостроительства и архитектуры Пензенской области от 24.04.2019 № 41/ОД
"Об утверждении границ охранной зоны существующего газопровода низкого давления протяженностью 8782 м, расположенного по адресу: Пензенская область, Мокшанский район, с. Богородское, и наложению ограничений (обременений) на входящие в нее земельные участки"
Номер опубликования: 5801201904260008
Дата опубликования: 26.04.2019
Страница №5 из 42:
Увеличить