Официальное опубликование правовых актов
ОФИЦИАЛЬНОЕ ОПУБЛИКОВАНИЕ
Приказ Департамента градостроительства и архитектуры Пензенской области от 24.04.2019 № 35/ОД
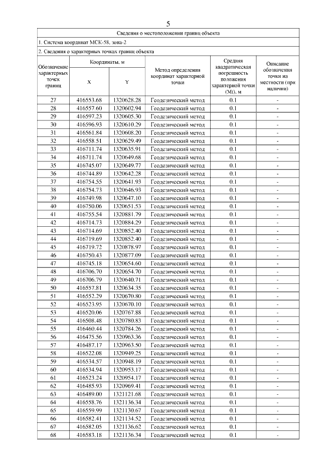
"Об утверждении границ охранной зоны существующего газопровода низкого давления протяженностью 1570,0 м., расположенного по адресу: Пензенская область, Нижнеломовский район, с. Новый Шуструй, ул. Школьная, ул. Центральная, ул. Молодежная, и наложению ограничений (обременений) на входящие в нее земельные участки"
Номер опубликования: 5801201904260007
Дата опубликования: 26.04.2019
Страница №5 из 9:
Увеличить