Официальное опубликование правовых актов
ОФИЦИАЛЬНОЕ ОПУБЛИКОВАНИЕ
Приказ Департамента градостроительства и архитектуры Пензенской области от 24.04.2019 № 36/ОД
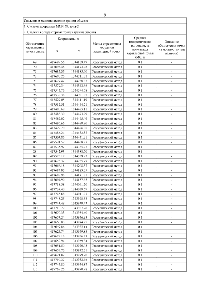
"Об утверждении границ охранной зоны существующего газопровода высокого и низкого давления протяженностью 4459,0 м., расположенного по адресу: Пензенская область, Нижнеломовский район, с. Кривошеевка, ул. Полевая, ул. Красноармейская, ул. Андреева, и наложению ограничений (обременений) на входящие в нее земельные участки"
Номер опубликования: 5801201904260004
Дата опубликования: 26.04.2019
Страница №6 из 17:
Увеличить