Официальное опубликование правовых актов
ОФИЦИАЛЬНОЕ ОПУБЛИКОВАНИЕ
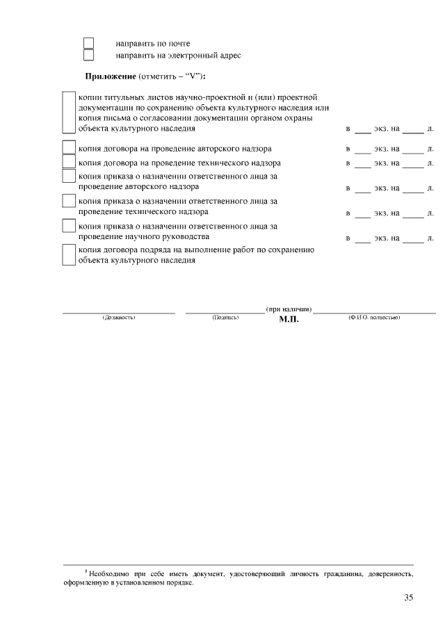
Приказ Комитета Пензенской области по охране памятников истории и культуры от 29.12.2018 № 180-од
"Об утверждении Административного регламента предоставления Комитетом Пензенской области по охране памятников истории и культуры государственной услуги по выдаче задания и разрешения на проведение работ по сохранению объекта культурного наследия (памятника истории и культуры) народов Российской Федерации регионального значения, выявленного объекта культурного наследия"
Номер опубликования: 5801201812290010
Дата опубликования: 29.12.2018
Страница №35 из 42:
Увеличить