Официальное опубликование правовых актов
ОФИЦИАЛЬНОЕ ОПУБЛИКОВАНИЕ
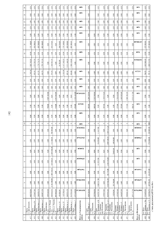
Постановление Правительства Пензенской области от 18.01.2023 № 20-пП
"О внесении изменений в Краткосрочный план реализации региональной программы капитального ремонта общего имущества в многоквартирных домах, расположенных на территории Пензенской области, на 2021 - 2023 годы, утвержденный постановлением Правительства Пензенской области от 30.10.2015 № 605-пП (с последующими изменениями)"
Номер опубликования: 5800202301190002
Дата опубликования: 19.01.2023
Страница №143 из 154:
Увеличить