Официальное опубликование правовых актов
ОФИЦИАЛЬНОЕ ОПУБЛИКОВАНИЕ
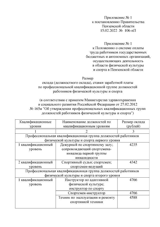
Постановление Правительства Пензенской области от 15.02.2022 № 106-пП
"О внесении изменений в Положение о системе оплаты труда работников государственных бюджетных и автономных организаций, осуществляющих деятельность в области физической культуры и спорта в Пензенской области, утвержденное постановлением Правительства Пензенской области от 07.05.2009 № 355-пП (с последующими изменениями)"
Номер опубликования: 5800202202180008
Дата опубликования: 18.02.2022
Страница №3 из 16:
Увеличить