Официальное опубликование правовых актов
ОФИЦИАЛЬНОЕ ОПУБЛИКОВАНИЕ
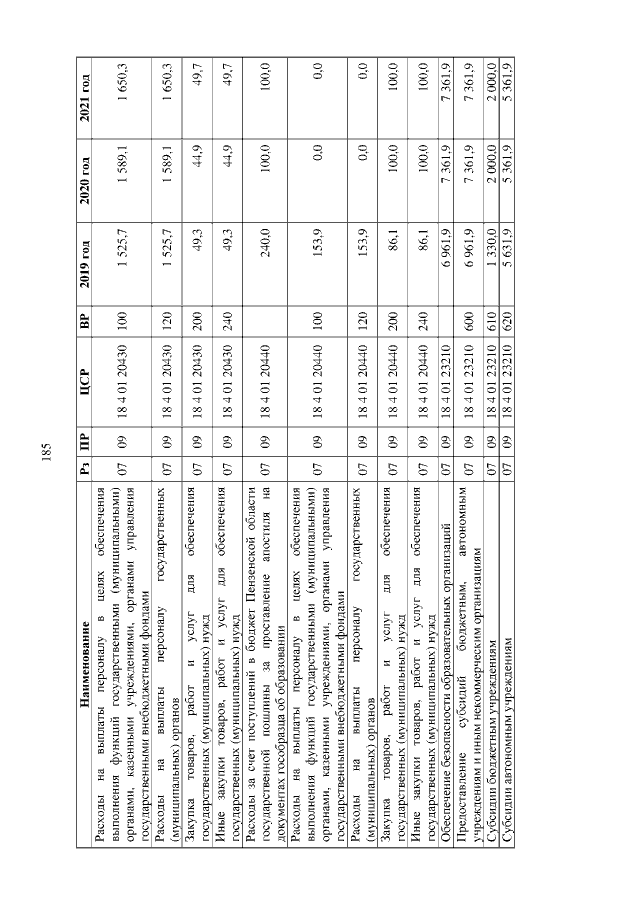
Закон Пензенской области от 11.10.2019 № 3385-ЗПО
"О внесении изменений в Закон Пензенской области "О бюджете Пензенской области на 2019 год и на плановый период 2020 и 2021 годов"
Номер опубликования: 5800201910110006
Дата опубликования: 11.10.2019
Страница №185 из 953:
Увеличить