Официальное опубликование правовых актов
ОФИЦИАЛЬНОЕ ОПУБЛИКОВАНИЕ
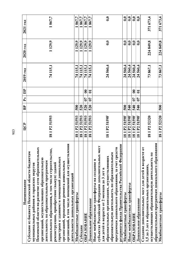
Закон Пензенской области от 27.08.2019 № 3366-ЗПО
"О внесении изменений в Закон Пензенской области"О бюджете Пензенской области на 2019 год и на плановый период 2020 и 2021 годов"
Номер опубликования: 5800201908270003
Дата опубликования: 27.08.2019
Страница №903 из 987:
Увеличить