Официальное опубликование правовых актов
ОФИЦИАЛЬНОЕ ОПУБЛИКОВАНИЕ
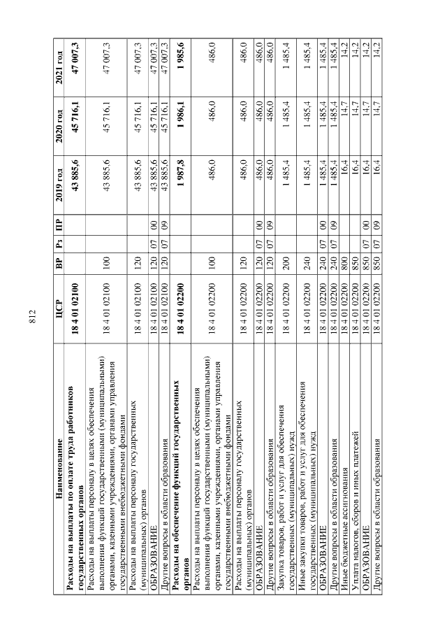
Закон Пензенской области от 07.03.2019 № 3297-ЗПО
"О внесении изменений в Закон Пензенской области "О бюджете Пензенской области на 2019 год и на плановый период 2020 и 2021 годов"
Номер опубликования: 5800201903070030
Дата опубликования: 07.03.2019
Страница №812 из 867:
Увеличить