Официальное опубликование правовых актов
ОФИЦИАЛЬНОЕ ОПУБЛИКОВАНИЕ
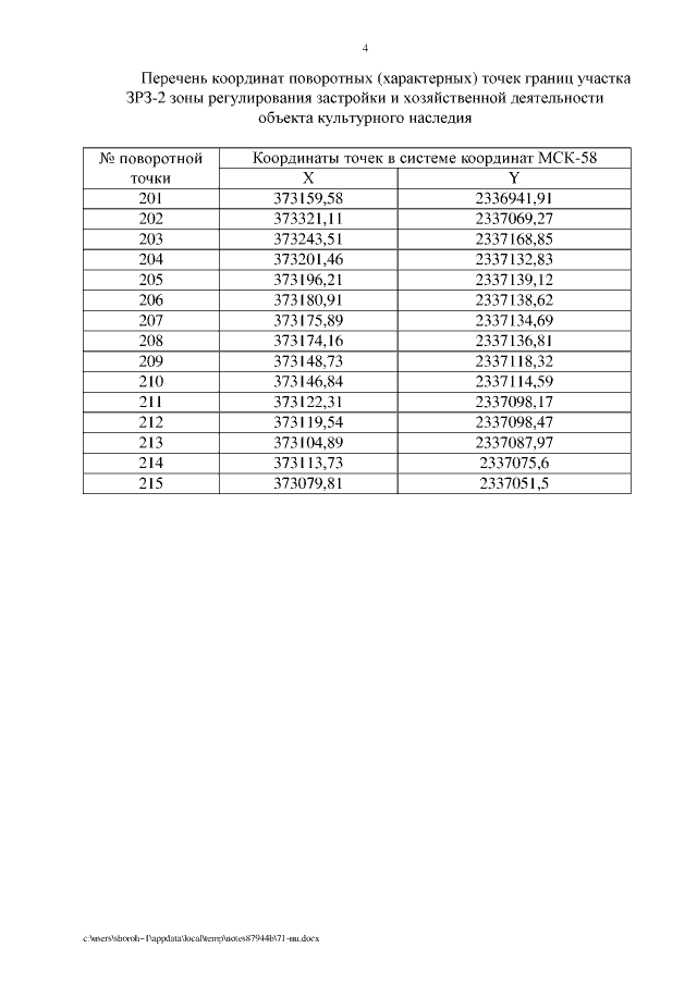
Постановление Правительства Пензенской области от 11.02.2019 № 71-пП
"Об установлении зон охраны объекта культурного наследия регионального значения "Дом жилой с магазином" (Пензенская область, г. Кузнецк, ул. Московская, д. 60) и утверждении требований к градостроительным регламентам в границах территории данных зон"
Номер опубликования: 5800201902120015
Дата опубликования: 12.02.2019
Страница №6 из 10:
Увеличить