Официальное опубликование правовых актов
ОФИЦИАЛЬНОЕ ОПУБЛИКОВАНИЕ
Постановление Правительства Пензенской области от 08.02.2019 № 66-пП
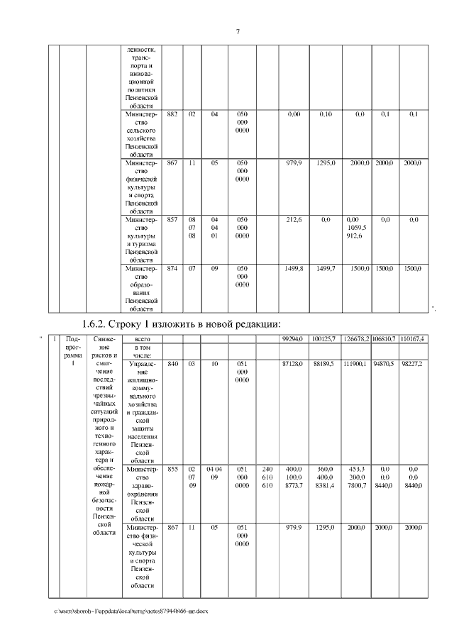
"О внесении изменений в государственную программу Пензенской области "Защита населения и территорий от чрезвычайных ситуаций, обеспечение пожарной безопасности в Пензенской области на 2014 - 2020 годы", утвержденную постановлением Правительства Пензенской области от 29.10.2013 № 801-пП (с последующими изменениями)"
Номер опубликования: 5800201902120003
Дата опубликования: 12.02.2019
Страница №7 из 21:
Увеличить