Официальное опубликование правовых актов
ОФИЦИАЛЬНОЕ ОПУБЛИКОВАНИЕ
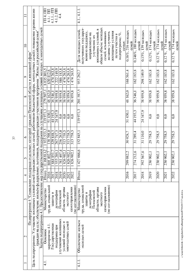
Постановление Правительства Пензенской области от 28.12.2018 № 737-пП
"О внесении изменений в государственную программу Пензенской области "Социальная поддержка граждан в Пензенской области на 2014 - 2022 годы", утвержденную постановлением Правительства Пензенской области от 30.10.2013 № 805-пП (с последующими изменениями)"
Номер опубликования: 5800201812290019
Дата опубликования: 29.12.2018
Страница №67 из 108:
Увеличить