Официальное опубликование правовых актов
ОФИЦИАЛЬНОЕ ОПУБЛИКОВАНИЕ
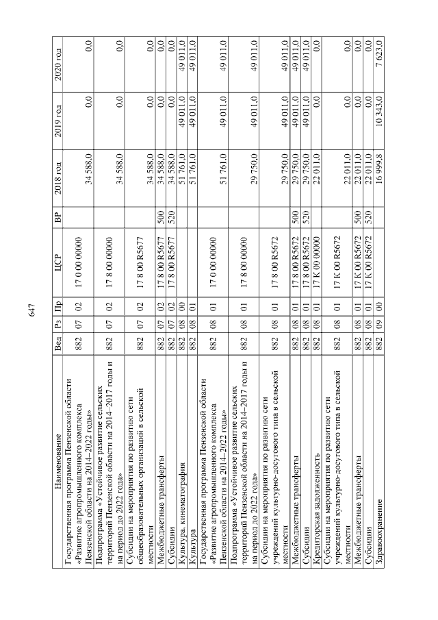
Закон Пензенской области от 23.11.2018 № 3246-ЗПО
"О внесении изменений в Закон Пензенской области "О бюджете Пензенской области на 2018 год и на плановый период 2019 и 2020 годов"
Номер опубликования: 5800201811230001
Дата опубликования: 23.11.2018
Страница №647 из 1005:
Увеличить