Официальное опубликование правовых актов
ОФИЦИАЛЬНОЕ ОПУБЛИКОВАНИЕ
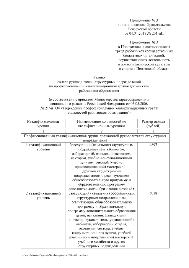
Постановление Правительства Пензенской области от 04.04.2018 № 201-пП
"О внесении изменений в Положение о системе оплаты труда работников государственных бюджетных организаций, осуществляющих деятельность в области физической культуры и спорта в Пензенской области, утвержденное постановлением Правительства Пензенской области от 07.05.2009 № 355-пП (с последующими изменениями)"
Номер опубликования: 5800201804060001
Дата опубликования: 06.04.2018
Страница №6 из 14:
Увеличить