Официальное опубликование правовых актов
ОФИЦИАЛЬНОЕ ОПУБЛИКОВАНИЕ
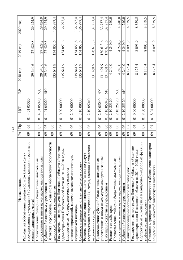
Закон Пензенской области от 20.12.2017 № 3132-ЗПО
"О бюджете Пензенской области на 2018 год и на плановый период 2019 и 2020 годов"
Номер опубликования: 5800201712210016
Дата опубликования: 21.12.2017
Страница №243 из 799:
Увеличить