Официальное опубликование правовых актов
ОФИЦИАЛЬНОЕ ОПУБЛИКОВАНИЕ
Постановление Правительства Пензенской области от 06.06.2017 № 276-пП
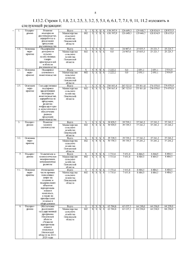
"О внесении изменений в государственную программу Пензенской области "Развитие агропромышленного комплекса Пензенской области на 2014–2020 годы", утвержденную постановлением Правительства Пензенской области от 18.09.2013 № 691-пП (с последующими изменениями)"
Номер опубликования: 5800201706080006
Дата опубликования: 08.06.2017
Страница №8 из 75:
Увеличить