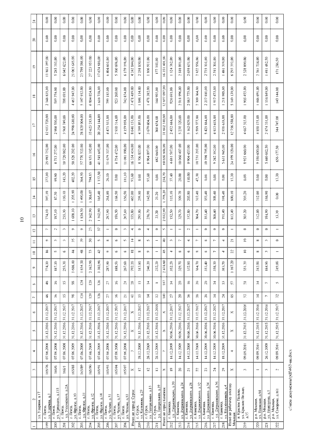
Постановление Правительства Пензенской области от 06.09.2016 № 463-пП
"О внесении изменений в региональную адресную программу "Переселение граждан из аварийного жилищного фонда на территории Пензенской области в 2013–2017 годах", утвержденную постановлением Правительства Пензенской области от 09.04.2013 № 232-пП (с последующими изменениями)"
"О внесении изменений в региональную адресную программу "Переселение граждан из аварийного жилищного фонда на территории Пензенской области в 2013–2017 годах", утвержденную постановлением Правительства Пензенской области от 09.04.2013 № 232-пП (с последующими изменениями)"
Номер опубликования: 5800201609070004
Дата опубликования:
07.09.2016
