Официальное опубликование правовых актов
ОФИЦИАЛЬНОЕ ОПУБЛИКОВАНИЕ
Постановление Губернатора Пензенской области от 25.12.2015 № 184
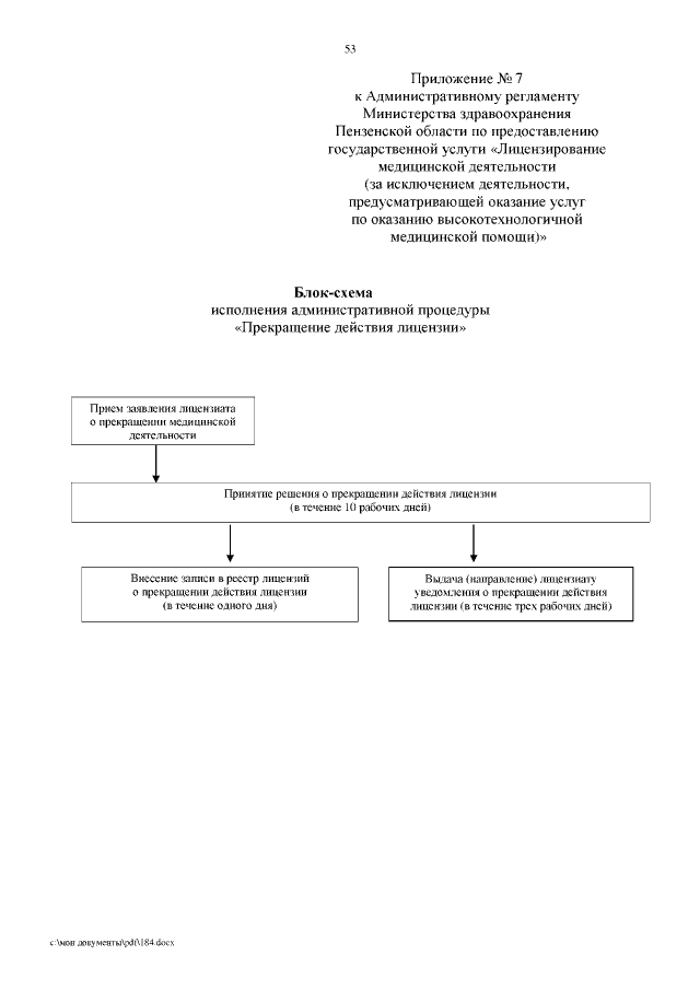
"О внесении изменений в Административный регламент Министерства здравоохранения Пензенской области по предоставлению государственной услуги "Лицензирование медицинской деятельности медицинских организаций (за исключением медицинских организаций, подведомственных федеральным органам исполнительной власти)", утвержденный постановлением Губернатора Пензенской области от 25.11.2015 № 150"
Номер опубликования: 5800201512310001
Дата опубликования: 31.12.2015
Страница №55 из 57:
Увеличить