Официальное опубликование правовых актов
ОФИЦИАЛЬНОЕ ОПУБЛИКОВАНИЕ
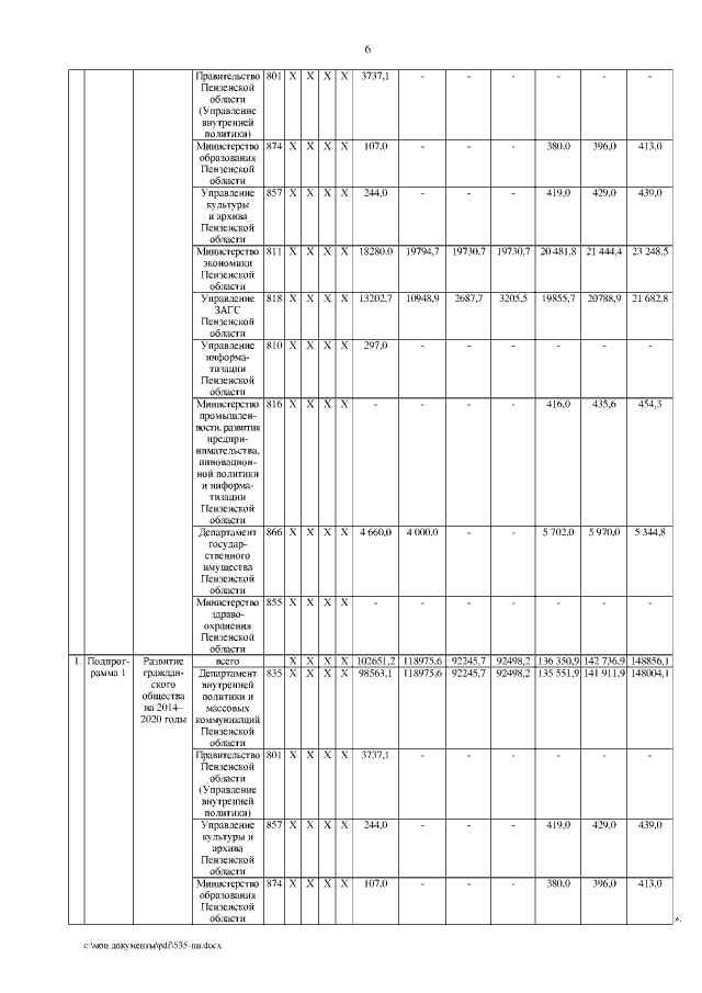
Постановление Правительства Пензенской области от 30.09.2015 № 535-пП
"O внесении изменений в государственную программу Пензенской области "Региональная политика, развитие гражданского общества в Пензенской области на 2014–2020 годы", утвержденную постановлением Правительства Пензенской области от 27.09.2013 № 733-пП (с последующими изменениями)"
Номер опубликования: 5800201510020005
Дата опубликования: 02.10.2015
Страница №6 из 14:
Увеличить