Официальное опубликование правовых актов
ОФИЦИАЛЬНОЕ ОПУБЛИКОВАНИЕ
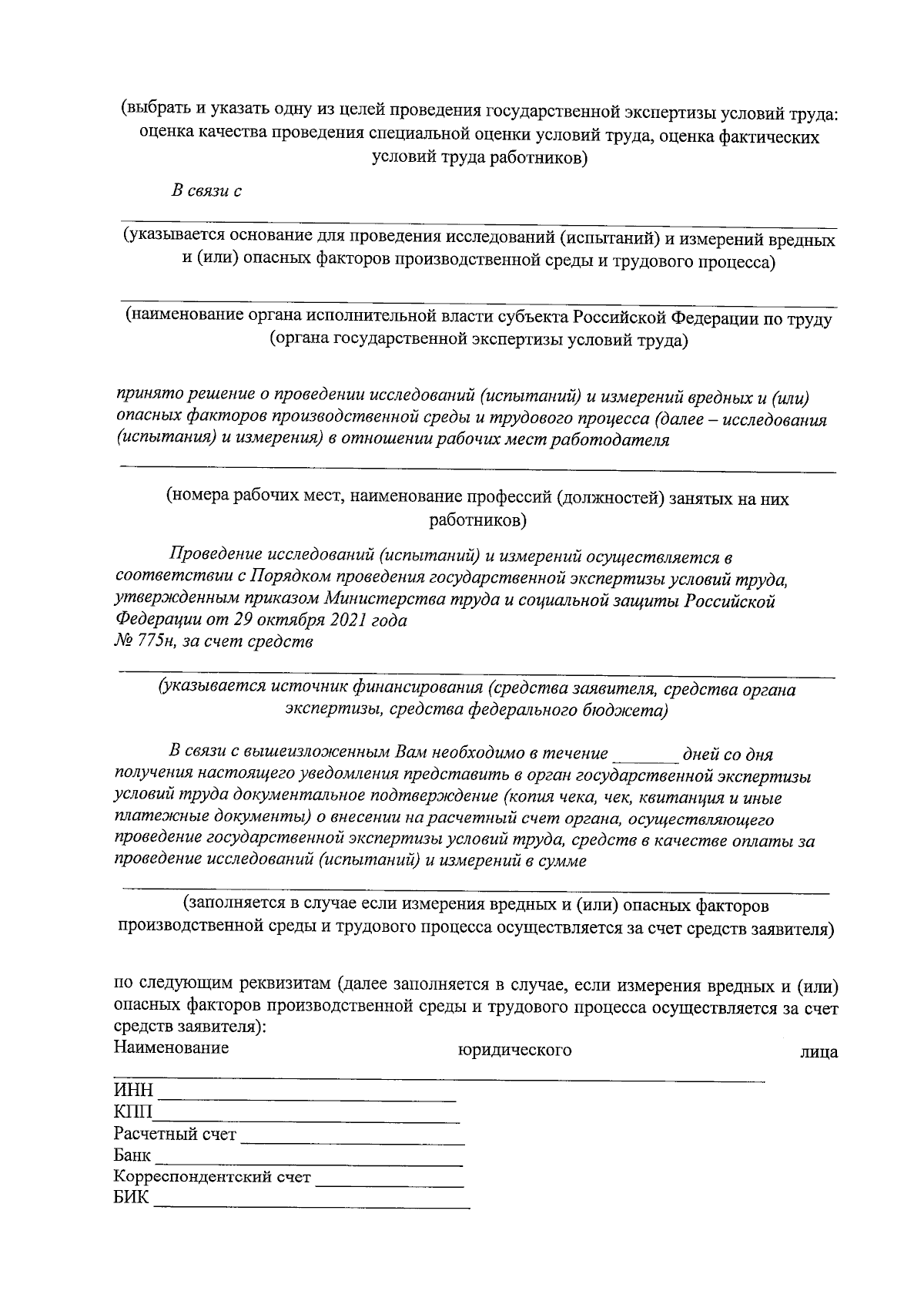
Приказ Департамента социальной защиты, опеки и попечительства, труда и занятости Орловской области от 25.12.2025 № 1664
"Об утверждении административного регламента предоставления Департаментом социальной защиты, опеки и попечительства, труда и занятости Орловской области государственной услуги по организации государственной экспертизы условий труда"
(Зарегистрирован 26.12.2025 № 872/2025)
Номер опубликования: 5701202512300002
Дата опубликования: 30.12.2025
Страница №54 из 55:
Увеличить