Официальное опубликование правовых актов
ОФИЦИАЛЬНОЕ ОПУБЛИКОВАНИЕ
Приказ Управления по государственной охране объектов культурного наследия Орловской области от 16.10.2023 № 212
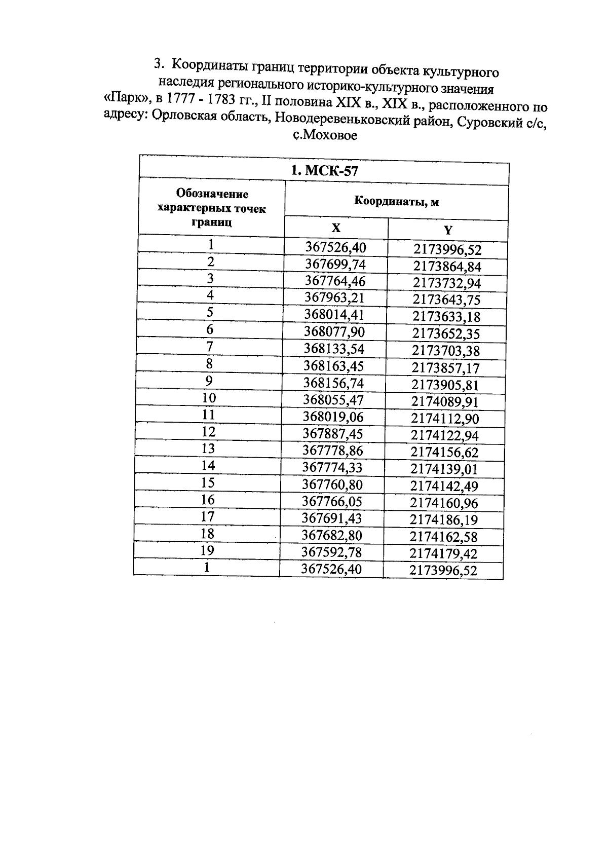
"Об утверждении границ территории и правового режима использования территории объекта культурного наследия регионального историко-культурного значения "Парк", в 1777 - 1783 гг., II половина XIX в., XIX в., расположенного по адресу: Орловская область, Новодеревеньковский район, Суровский с/с, с. Моховое"
(Зарегистрирован 18.10.2023 № 501/2023)
Номер опубликования: 5701202310230018
Дата опубликования: 23.10.2023
Страница №7 из 7:
Увеличить