Приказ Управления по государственной охране объектов культурного наследия Орловской области от 16.10.2023 № 208
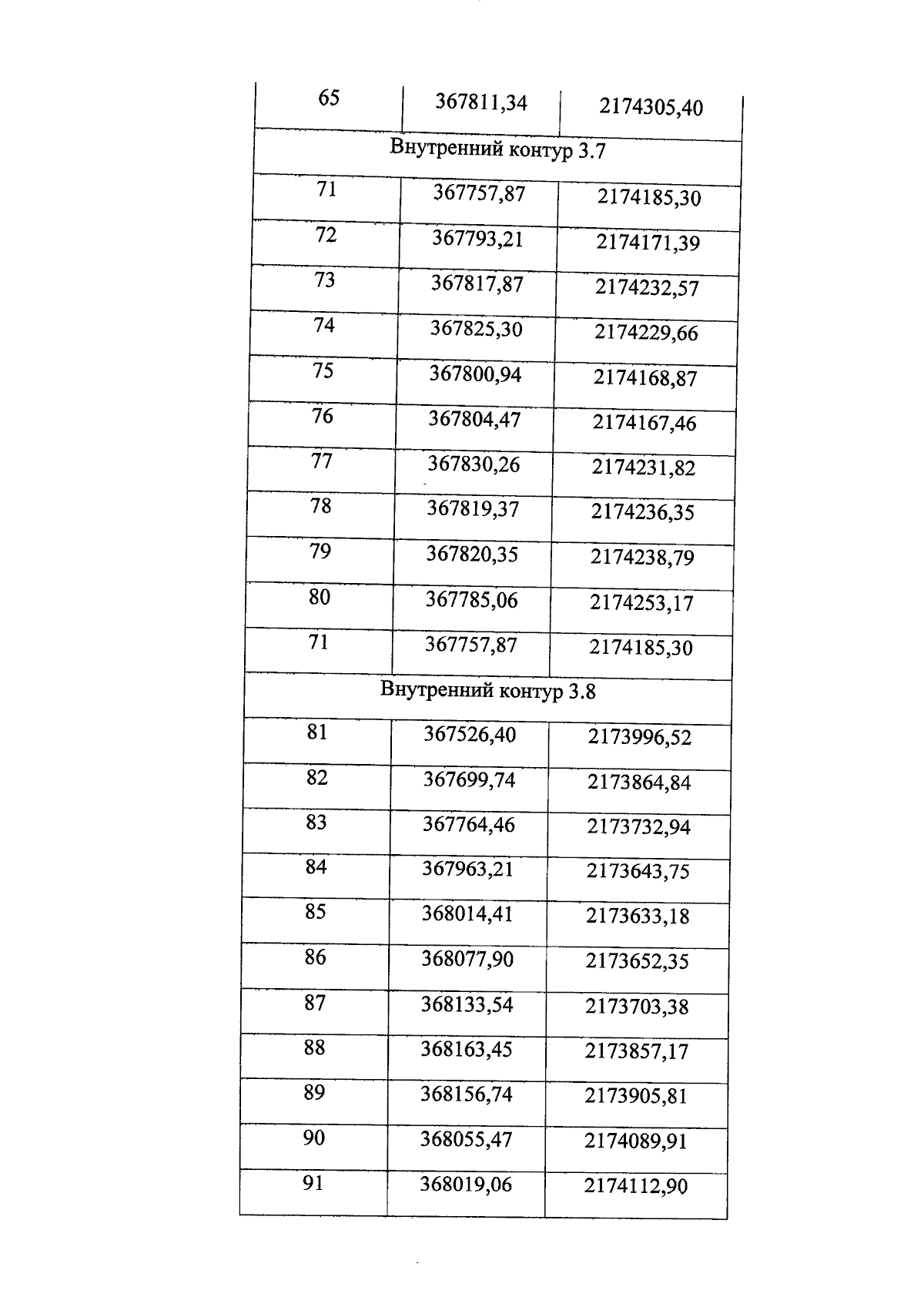
"Об утверждении границ территории (ансамбля) и правового режима использования территории (ансамбля) объекта культурного наследия регионального историко-культурного значения "Усадьба Шатиловых", в 1777 - 1783 гг., II половина XIX в., XIX в., расположенного по адресу: Орловская область, Новодеревеньковский район Суровский с/с, с.Моховое"
(Зарегистрирован 18.10.2023 № 499/2023)
"Об утверждении границ территории (ансамбля) и правового режима использования территории (ансамбля) объекта культурного наследия регионального историко-культурного значения "Усадьба Шатиловых", в 1777 - 1783 гг., II половина XIX в., XIX в., расположенного по адресу: Орловская область, Новодеревеньковский район Суровский с/с, с.Моховое"
(Зарегистрирован 18.10.2023 № 499/2023)
Номер опубликования: 5701202310230016
Дата опубликования:
23.10.2023
