Официальное опубликование правовых актов
ОФИЦИАЛЬНОЕ ОПУБЛИКОВАНИЕ
Приказ Департамента строительства, топливно-энергетического комплекса, жилищно-коммунального хозяйства, транспорта и дорожного хозяйства Орловской области от 17.06.2020 № 334
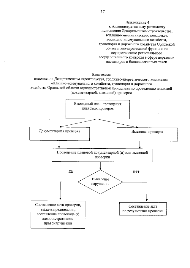
"Об утверждении административного регламента исполнения Департаментом строительства, топливно-энергетического комплекса, жилищно-коммунального хозяйства, транспорта и дорожного хозяйства Орловской области государственной функции по осуществлению регионального государственного контроля в сфере перевозок пассажиров и багажа легковым такси на территории Орловской области"
(Зарегистрирован 17.06.2020 № 230/2020)
Номер опубликования: 5701202006230002
Дата опубликования: 23.06.2020
Страница №40 из 44:
Увеличить