Официальное опубликование правовых актов
ОФИЦИАЛЬНОЕ ОПУБЛИКОВАНИЕ
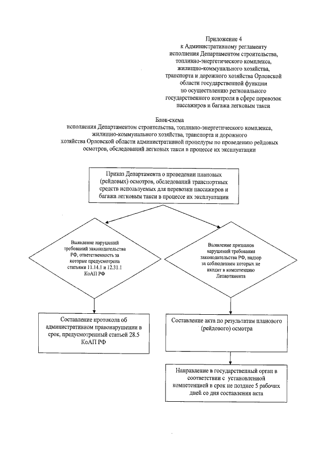
Приказ Департамента строительства, топливно-энергетического комплекса, жилищно-коммунального хозяйства, транспорта и дорожного хозяйства Орловской области от 26.02.2018 № 89
"Об утверждении административного регламента исполнения Департаментом строительства, топливно-энергетического комплекса, жилищно-коммунального хозяйства, транспорта и дорожного хозяйства Орловской области государственной функции по осуществлению регионального государственного контроля в сфере перевозок пассажиров и багажа легковым такси на территории Орловской области."
(Зарегистрирован 26.02.2018 № 46/2018)
Номер опубликования: 5701201803010001
Дата опубликования: 01.03.2018
Страница №32 из 32:
Увеличить