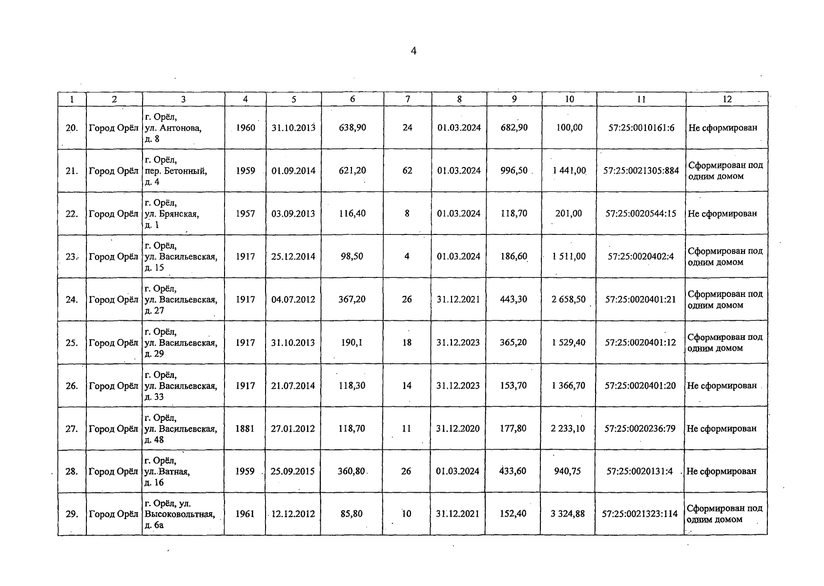
Постановление Правительства Орловской области от 26.12.2025 № 881
"О внесении изменений в постановление Правительства Орловской области от 29 марта 2019 года № 176 "Об утверждении областной адресной программы "Переселение граждан, проживающих на территории Орловской области, из аварийного жилищного фонда" на 2019–2024 годы"
"О внесении изменений в постановление Правительства Орловской области от 29 марта 2019 года № 176 "Об утверждении областной адресной программы "Переселение граждан, проживающих на территории Орловской области, из аварийного жилищного фонда" на 2019–2024 годы"
Номер опубликования: 5700202512300017
Дата опубликования:
30.12.2025
