Официальное опубликование правовых актов
ОФИЦИАЛЬНОЕ ОПУБЛИКОВАНИЕ
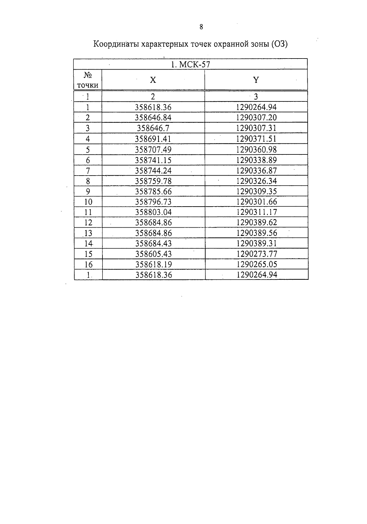
Постановление Правительства Орловской области от 25.12.2025 № 867
"Об установлении зон охраны объекта культурного наследия регионального историко-культурного значения "Дом, в котором размещался штаб 17 гусарского (51 драгунского) Черниговского полка", 1856 г., 1896–1914 гг., расположенного по адресу: Орловская область, г. Орёл, ул. Московская, д. 29"
Номер опубликования: 5700202512260007
Дата опубликования: 26.12.2025
Страница №10 из 25:
Увеличить