Официальное опубликование правовых актов
ОФИЦИАЛЬНОЕ ОПУБЛИКОВАНИЕ
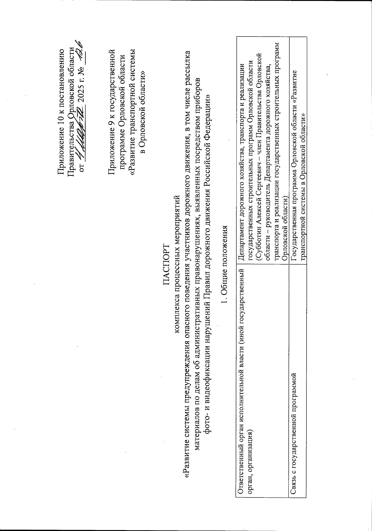
Постановление Правительства Орловской области от 04.03.2025 № 126
"О внесении изменений в постановление Правительства Орловской области от 15 января 2019 года № 8 "Об утверждении государственной программы Орловской области "Развитие транспортной системы в Орловской области"
Номер опубликования: 5700202503040005
Дата опубликования: 04.03.2025
Страница №103 из 113:
Увеличить