Официальное опубликование правовых актов
ОФИЦИАЛЬНОЕ ОПУБЛИКОВАНИЕ
Постановление Правительства Орловской области от 04.12.2024 № 783
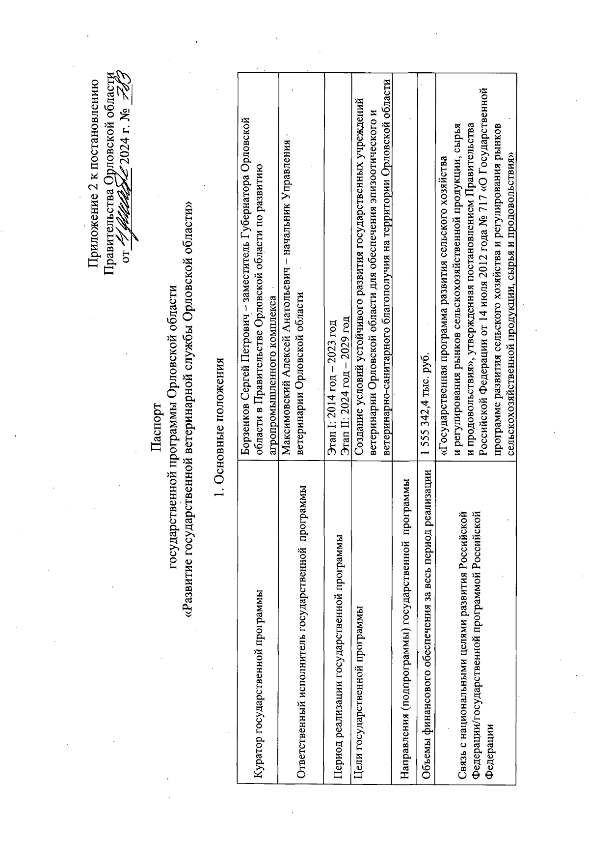
"О внесении изменений в постановление Правительства Орловской области от 11 октября 2019 года № 570 "Об утверждении государственной программы Орловской области "Развитие государственной ветеринарной службы Орловской области"
Номер опубликования: 5700202412040017
Дата опубликования: 04.12.2024
Страница №7 из 32:
Увеличить