Официальное опубликование правовых актов
ОФИЦИАЛЬНОЕ ОПУБЛИКОВАНИЕ
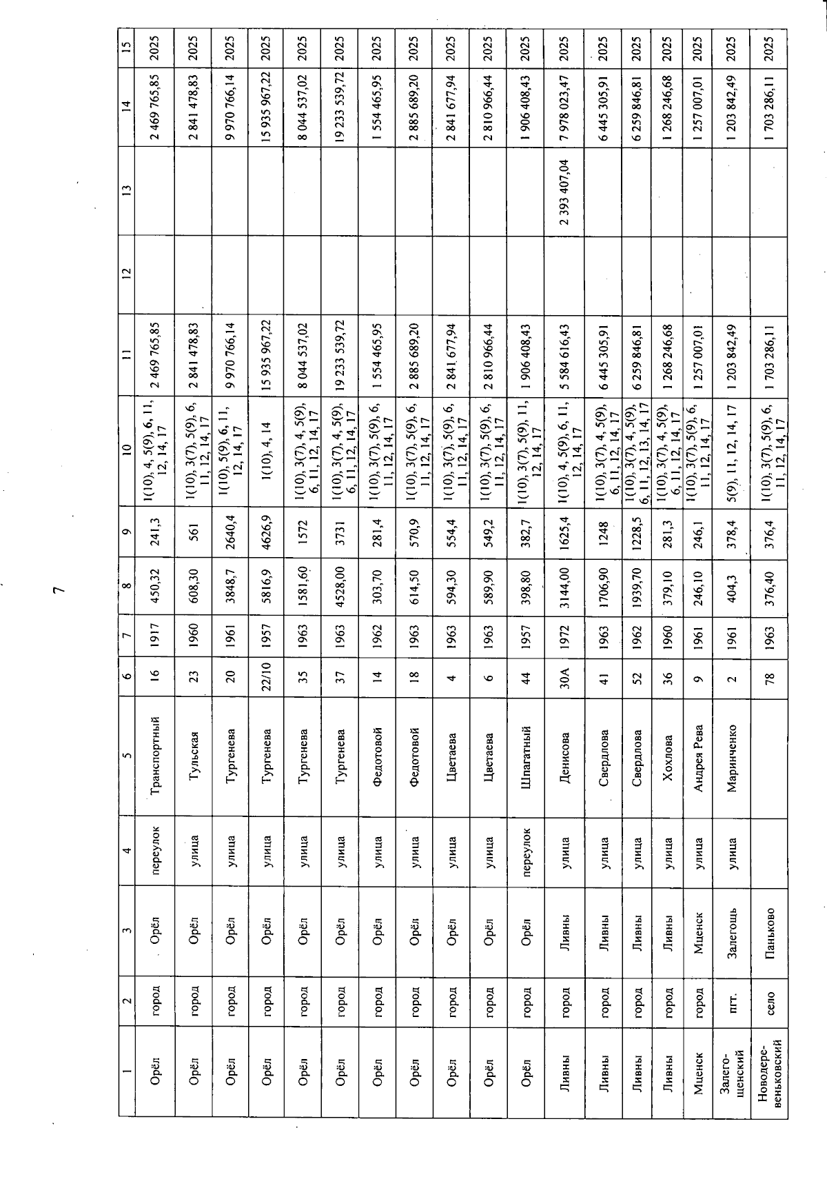
Постановление Правительства Орловской области от 15.11.2024 № 743
"О внесении изменений в постановление Правительства Орловской области от 17 августа 2023 года № 588 "Об утверждении краткосрочного плана реализации областной адресной программы "Капитальный ремонт общего имущества в многоквартирных домах на территории Орловской области" в 2024–2026 годах"
Номер опубликования: 5700202411150005
Дата опубликования: 15.11.2024
Страница №13 из 34:
Увеличить