Официальное опубликование правовых актов
ОФИЦИАЛЬНОЕ ОПУБЛИКОВАНИЕ
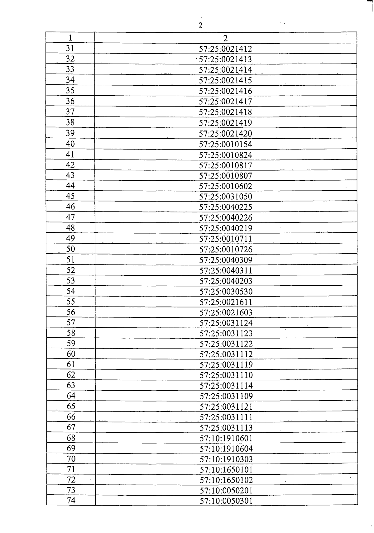
Постановление Правительства Орловской области от 21.11.2023 № 777
"О внесении изменения в постановление Правительства Орловской области от 30 декабря 2022 года № 874 "Об утверждении перечня кадастровых кварталов, в границах которых предполагается проведение комплексных кадастровых работ в 2024 году"
Номер опубликования: 5700202311230001
Дата опубликования: 23.11.2023
Страница №3 из 4:
Увеличить