Официальное опубликование правовых актов
ОФИЦИАЛЬНОЕ ОПУБЛИКОВАНИЕ
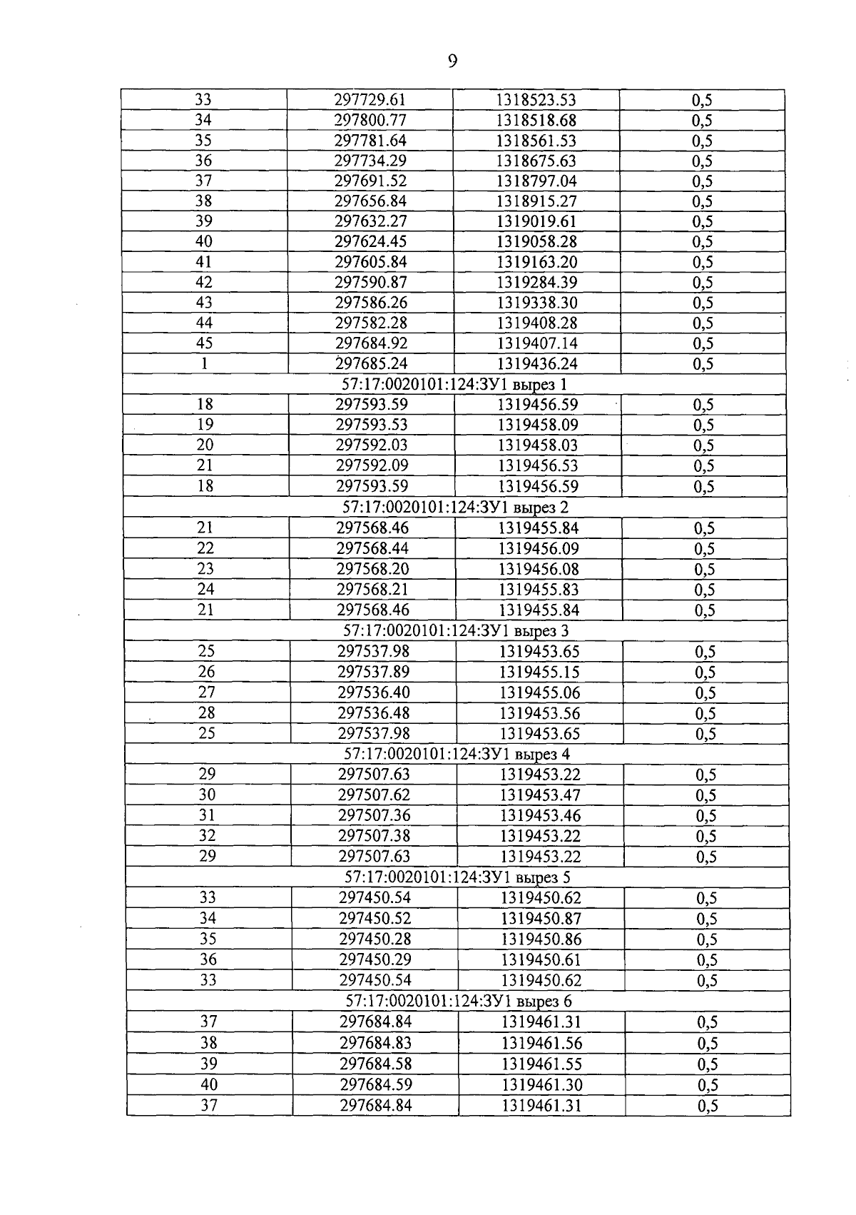
Постановление Правительства Орловской области от 25.09.2023 № 661
"О резервировании земель для государственных нужд Орловской области"
Номер опубликования: 5700202309260004
Дата опубликования: 26.09.2023
Страница №11 из 36:
Увеличить