Официальное опубликование правовых актов
ОФИЦИАЛЬНОЕ ОПУБЛИКОВАНИЕ
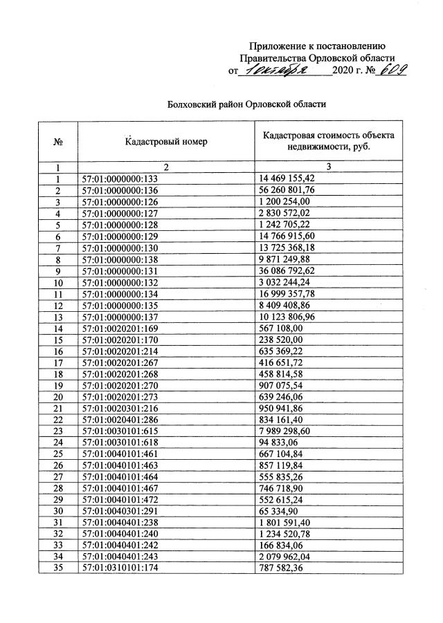
Постановление Правительства Орловской области от 01.10.2020 № 609
"Об утверждении результатов определения кадастровой стоимости земельных участков с категориями земель: земли лесного фонда и земли водного фонда, расположенных на территории Орловской области"
Номер опубликования: 5700202010050003
Дата опубликования: 05.10.2020
Страница №2 из 32:
Увеличить