Официальное опубликование правовых актов
ОФИЦИАЛЬНОЕ ОПУБЛИКОВАНИЕ
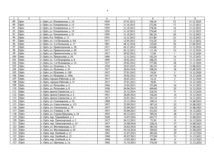
Постановление Правительства Орловской области от 31.12.2019 № 758
"О внесении изменений в постановление Правительства Орловской области от 29 марта 2019 года № 176 "Об утверждении областной адресной программы "Переселение граждан, проживающих на территории Орловской области, из аварийного жилищного фонда" на 2019–2025 годы"
Номер опубликования: 5700202001040018
Дата опубликования: 04.01.2020
Страница №10 из 14:
Увеличить