Официальное опубликование правовых актов
ОФИЦИАЛЬНОЕ ОПУБЛИКОВАНИЕ
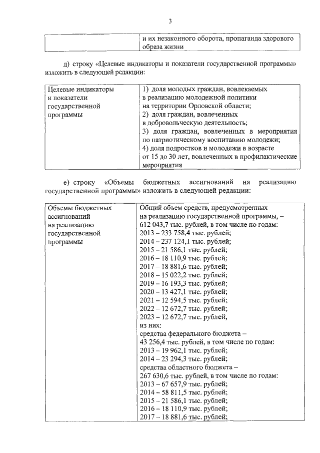
Постановление Правительства Орловской области от 09.09.2019 № 507
"О внесении изменений в постановление Правительства Орловской области от 29 декабря 2012 года № 520 "Об утверждении государственной программы Орловской области "Молодежь Орловщины"
Номер опубликования: 5700201909110003
Дата опубликования: 11.09.2019
Страница №3 из 194:
Увеличить