Официальное опубликование правовых актов
ОФИЦИАЛЬНОЕ ОПУБЛИКОВАНИЕ
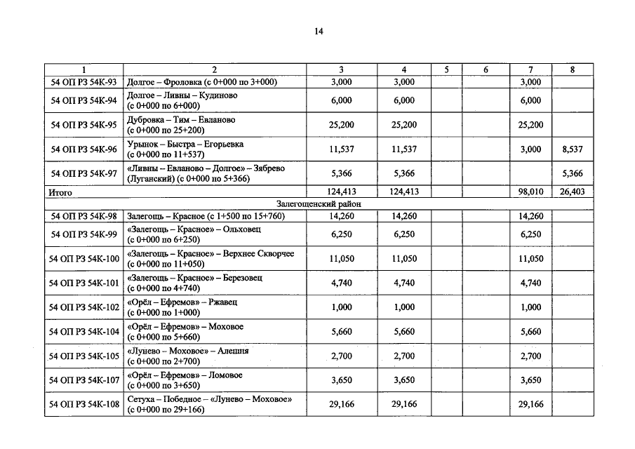
Постановление Правительства Орловской области от 31.05.2019 № 303
"О внесении изменений в постановление Правительства Орловской области от 19 ноября 2015 года № 501 "Об утверждении Перечня автомобильных дорог общего пользования регионального и межмуниципального значения Орловской области"
Номер опубликования: 5700201906040016
Дата опубликования: 04.06.2019
Страница №15 из 36:
Увеличить