Официальное опубликование правовых актов
ОФИЦИАЛЬНОЕ ОПУБЛИКОВАНИЕ
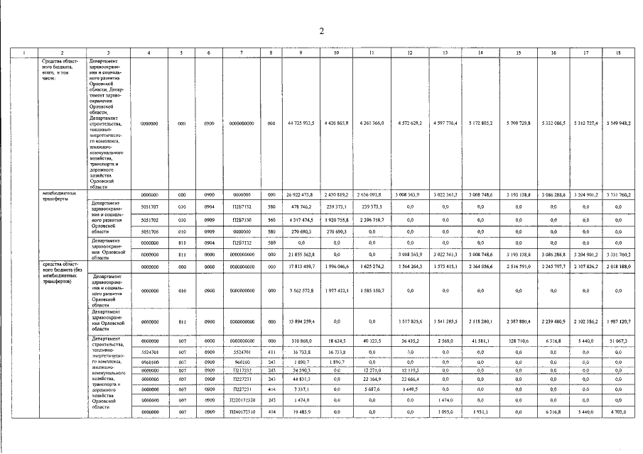
Постановление Правительства Орловской области от 12.02.2019 № 72
"О внесении изменения в постановление Правительства Орловской области от 30 апреля 2013 года № 153 "Об утверждении государственной программы Орловской области "Развитие отрасли здравоохранения в Орловской области"
Номер опубликования: 5700201902190001
Дата опубликования: 19.02.2019
Страница №150 из 221:
Увеличить