Официальное опубликование правовых актов
ОФИЦИАЛЬНОЕ ОПУБЛИКОВАНИЕ
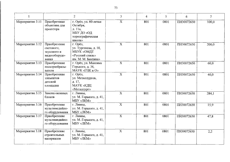
Постановление Правительства Орловской области от 10.12.2018 № 504
"О внесении изменения в постановление Правительства Орловской области от 10 октября 2017 года № 421 "Об утверждении государственной программы Орловской области "Реализация наказов избирателей депутатам Орловского областного Совета народных депутатов"
Номер опубликования: 5700201812110005
Дата опубликования: 11.12.2018
Страница №103 из 141:
Увеличить