Постановление Правительства Орловской области от 12.03.2018 № 86
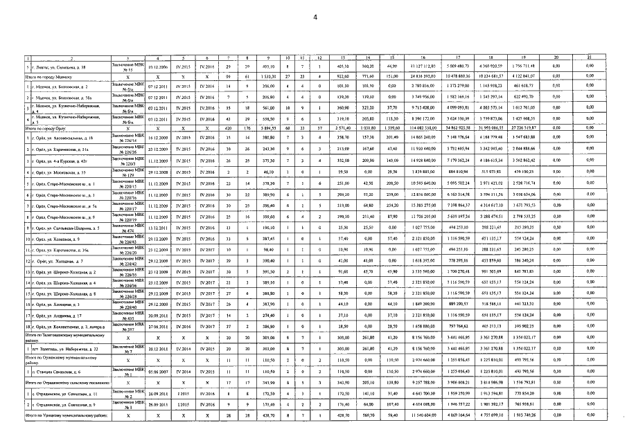
"О внесении изменений в постановление Правительства Орловской области от 30 апреля 2013 года № 148 "Об утверждении областной адресной программы "Переселение граждан, проживающих на территории Орловской области, из аварийного жилищного фонда" на 2013–2017 годы"
"О внесении изменений в постановление Правительства Орловской области от 30 апреля 2013 года № 148 "Об утверждении областной адресной программы "Переселение граждан, проживающих на территории Орловской области, из аварийного жилищного фонда" на 2013–2017 годы"
Номер опубликования: 5700201803140002
Дата опубликования:
14.03.2018
