Официальное опубликование правовых актов
ОФИЦИАЛЬНОЕ ОПУБЛИКОВАНИЕ
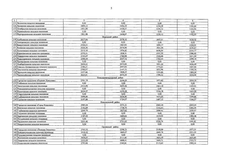
Постановление Правительства Орловской области от 08.12.2017 № 514
"О внесении изменений в постановление Правительства Орловской области от 27 апреля 2011 года № 124 "О региональных стандартах стоимости жилищно-коммунальных услуг, нормативной площади жилого помещения, используемой для расчета субсидий на оплату жилого помещения и коммунальных услуг, максимально допустимой доли расходов граждан на оплату жилого помещения и коммунальных услуг в совокупном доходе семьи"
Номер опубликования: 5700201712110003
Дата опубликования: 11.12.2017
Страница №21 из 26:
Увеличить