Официальное опубликование правовых актов
ОФИЦИАЛЬНОЕ ОПУБЛИКОВАНИЕ
Постановление Правительства Орловской области от 17.11.2017 № 480
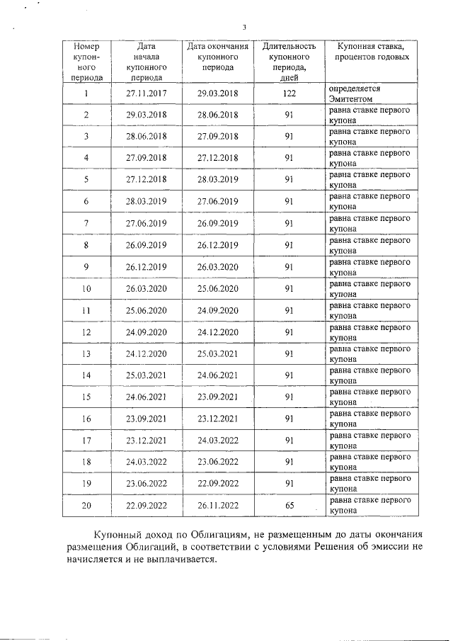
"Об утверждении решения об эмиссии выпуска государственных облигаций Орловской области 2017 года в форме документарных ценных бумаг на предъявителя с фиксированным купонным доходом и амортизацией долга"
Номер опубликования: 5700201711170002
Дата опубликования: 17.11.2017
Страница №18 из 20:
Увеличить