Официальное опубликование правовых актов
ОФИЦИАЛЬНОЕ ОПУБЛИКОВАНИЕ
Постановление Правительства Орловской области от 14.07.2017 № 292
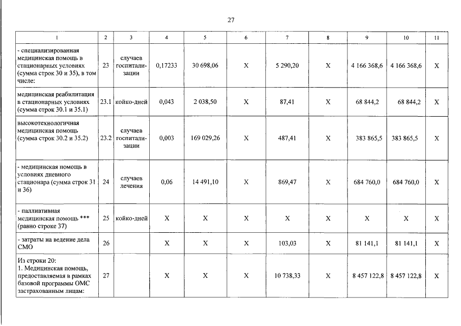
"О внесении изменений в постановление Правительства Орловской области от 30 декабря 2016 года № 550 "О Программе государственных гарантий бесплатного оказания гражданам медицинской помощи на территории Орловской области на 2017 год и на плановый период 2018 и 2019 годов"
Номер опубликования: 5700201707170004
Дата опубликования: 17.07.2017
Страница №44 из 115:
Увеличить