Официальное опубликование правовых актов
ОФИЦИАЛЬНОЕ ОПУБЛИКОВАНИЕ
Постановление Правительства Орловской области от 30.06.2017 № 279
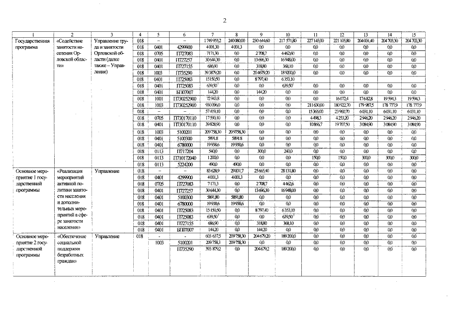
"О внесении изменений в постановление Правительства Орловской области от 8 октября 2012 года № 352 "Об утверждении государственной программы Орловской области "Содействие занятости населения Орловской области"
Номер опубликования: 5700201707030005
Дата опубликования: 03.07.2017
Страница №22 из 36:
Увеличить